/** * Note: This file may contain artifacts of previous malicious infection. * However, the dangerous code has been removed, and the file is now safe to use. */

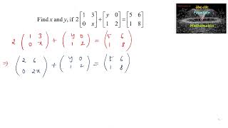
Find X And Y If 2[1 3 0 X] [y 0 1 2]=[5 6 1 8]ncertcbse12matricesboardrevision2023practice

Video Download
File Name: Find X And Y If 2[1 3 0 X] [y 0 1 2]=[5 6 1 8]ncertcbse12matricesboardrevision2023practice
File Type: Video
File Format: MP4
Definition: HD

› Find X And Y If 2[1 3 0 X] [y 0 1 2]=[5 6 1

› 8]ncertcbse12matricesboardrevision2023practice